Go
Search
Log in
Anyone can request membership this site
Request membership of this site
Go
Haighton Parish Council
Menu
Home
Accessibility Statement
Accessibility Statement
Council Tax Increase
Audit Inmformation For YE 31.3.24 Annual...
Agendas
Minutes
Minutes
Minutes of Meeting 6Oct 25
Contact
Audit Information for 2015-16
Audit Information for 2015-16
Audit YE 31.3.24 Audit Information
Audit Information for YE 31st March 2018
Audit Information for YE 31st March 2019
.Audit Information For YE31.3.20 continued
Audit Information for YE 31/3/20
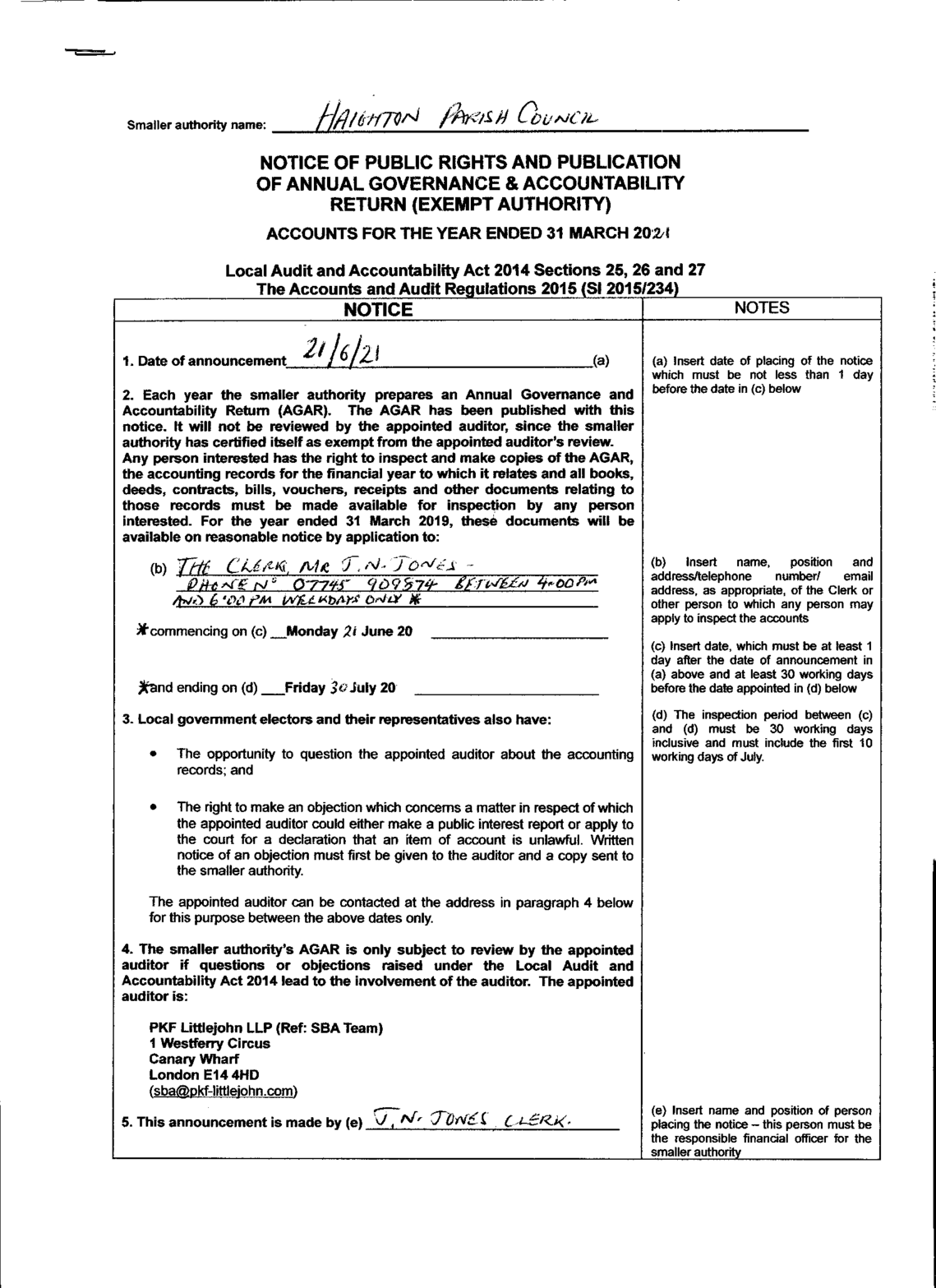
Audit Information for YE 31/3/21
Audit Information for YE 31/3/21
Audit Information for YE 31/3/22
Audit Information YE 31.3.24
Audit Information YE 31.3.25
Home
Audit Information for YE 31/3/21
Audit Information for YE 31/3/21